Mathematikaufgaben für Lernende der Elektroberufe im 1. Lehrjahr
⚽ 6. Pythagoras
Lehre des Pythagoras

Berechnung Pythagoras

Beispiel 1

Beispiel 2

Eine Leitung ist nach Skizze verlegt.
Berechnen Sie das Mass x!
Berechnen Sie das Mass x!
Eine Abdeckung hat die skizzierte Form und ist mit einem Metallrahmen einzufassen.
Wie viel Metall-Profil wird in mm benötigt?
Wie viel Metall-Profil wird in mm benötigt?
Wie lange ist die Kante a des Bleches?
Freileitungsmast mit Endverstärkung.
Bestimmen Sie das Mass a!
Bestimmen Sie das Mass a!
Aufgabe 6.5 Lösung
An einem Wellenende von 18 mm Durchmesser wird ein Vierkant gefräst.Berechnen Sie die Schlüsselweite des Vierkants.
Wie lange wird das installierte Kabelstück in der Halle von A ... B
Lampenausleger: Bestimmen Sie die Länge der Strebe S, wenn
a) x= 50 cm,
b) x= 70 cm ist!
a) x= 50 cm,
b) x= 70 cm ist!
Eine Leiter von 5 m Länge kann max. auf 9,2 m ausgezogen werden.
Wie weit unter einem Mauerhaken für ein Seil berührt die Leiter die Hauswand, wenn die Leiter höchstens 3,2 m von der Wand entfernt sein darf?
Wie weit unter einem Mauerhaken für ein Seil berührt die Leiter die Hauswand, wenn die Leiter höchstens 3,2 m von der Wand entfernt sein darf?
⚽ 7. Volumen
Volumen, Inhalt von Körpern

Tabelle der Volumeneinheiten

Legende
V = Volumen, A = Grundfläche, H = Höhe
Aufgabe 7.1 Lösung
Ein Ölbad misst 1,8 x 2,4 m und ist 0,8 m tief. Es ist zu 72% gefüllt.
Welche Menge Öl enthält das Bad?
Welche Menge Öl enthält das Bad?
Aufgabe 7.2 Lösung
Welche Wassermenge fasst ein der 650 m langer Druckstollen, der 4,3 m Durchmesser aufweist?
Das Gefäss hat einen quadratischen Grundriss und soll bis zur Marke M 85 Liter fassen.
Berechnen Sie die Masse a und b!
Berechnen Sie die Masse a und b!
Aufgabe 7.4 Lösung
Das Expansionsgefäss eines Trafos soll 325 Liter fassen und 480 mm Innendurchmesser aufweisen.
Wie lange wird das zylinderförmige Gefäss?
Wie lange wird das zylinderförmige Gefäss?
⚽ 8. Dichte
Dichte (Spezifisches Gewicht)

Sichte von verschiedenen Materialien (nicht vollständig)

Aufgabe 8.1 Lösung
In einem Kanister befinden sich 8,2 Liter Benzin (ρ = 0,71 kg/dm3).
Bestimmen Sie die Masse!
Bestimmen Sie die Masse!
Aufgabe 8.2 Lösung
Ein Hausbesitzer kauft 5820 Liter Heizöl. Verrechnet werden ihm 4801 kg.
Mit welcher Dichte hat die Lieferfirma gerechnet?
Mit welcher Dichte hat die Lieferfirma gerechnet?
Aufgabe 8.3 Lösung
Ein stählernes Werkstück wiegt 94,2 kg.
Bestimmen Sie das Volumen! (ρ = 7,9 kg/dm3)
Bestimmen Sie das Volumen! (ρ = 7,9 kg/dm3)
Aufgabe 8.4 Lösung
Wie viele Tonnen Heizöl fasst ein prismatischer Tank mit den Innen-Massen 4,1 x 1,8 x 1,35 m? (ρ = 0,87 kg/dm3)
⚽ 9. Zehnerpotenzen
Zehnerpotenzen

Beispiel

Aufgabe 9.1 Lösung
Schreiben Sie als Dezimalzahl


Aufgabe 9.2 Lösung
Schreiben Sie als Zehnerpotenz

Aufgabe 9.3 Lösung
Schreiben Sie als Dezimalbruch


⚽ 10. Bruchrechnen
Bruchrechnen

Echte und unechte Brüche

Addition von Brüchen

Subtraktion von Brüchen

Multiplikation von Brüchen

Division von Brüchen

Aufgabe 10.1 Lösung
Bestimmen Sie das kleinste gemeinsame Vielfache!

Am einfachsten berechnen Sie das gemeinsame Vielfache, indem Sie alle Werte multiplizieren.
Beispiel 2 x 3 x 6 x 12 = 432
Nachteil: Leider entstehen so sehr hohe Werte.
Beispiel 2 x 3 x 6 x 12 = 432
Nachteil: Leider entstehen so sehr hohe Werte.
Aufgabe 10.2 Lösung
Erweitern Sie folgende Brüche:

Aufgabe 10.3 Lösung
Kürzen Sie so weit wie möglich!

Aufgabe 10.4 Lösung
Verwandeln eines unechten in einen zusammengesetzten Bruch.

Aufgabe 10.5 Lösung
Addition und Subtraktion gleichnamiger Brüche.

Aufgabe 10.6 Lösung
Addition und Subtraktion gleichnamiger Brüche gemischt.

Aufgabe 10.7 Lösung
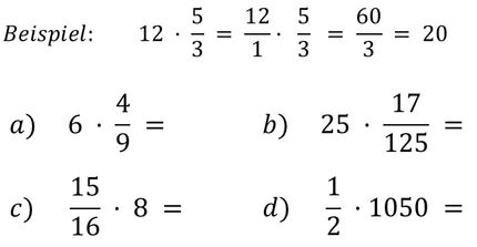
Zahl mit einem Bruch multiplizieren und umgekehrt.

Aufgabe 10.8 Lösung
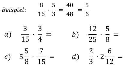
Brüche miteinander multiplizieren.

Aufgabe 10.9 Lösung
Zahl durch einen Bruch dividieren.

Bruch durch einen Bruch dividieren.

Quellennachweis:
Einzelne Aufgabenstellungen wurden aus dem Buch «Rechnen Elektroberufe, Vebra Verlag, 8630 Rüti (Schweiz)» entnommen.
Alle Aufgaben wurden von Robert Bayard, dem Eigentümer der Webseite, gelöst.
Alle Aufgaben wurden von Robert Bayard, dem Eigentümer der Webseite, gelöst.
⚽ Buchempfehlung
Rechnen ElektroberufeHrch. Brandenberger, Walter Enderli, Ernst Scherrer, Rudolf Spinnler
Vebra Verlag, 8630 Rüti (Schweiz)
ISBN 3-7293-0006-7 (7. Auflage)
Das Buch ist sehr empfehlenswert und kann in Buchhandlungen erworben werden. Fachrechnen für Elektroberufe wird an vielen Berufsfachschulen für das Fachrechnen angewendet.

Formeln und Tabellen Elektroberufe
Hrch. Brandenberger • Vebra Verlag, 8630 Rüti (Schweiz)









