Mathematikaufgaben für Lernende der Elektroberufe im 1. Lehrjahr
⚽ 11. Trigonometrie (Winkelfunktionen)
Winkelfunktionen ...


... im Einheitskreis! (Radius 1.0)

Sinuskurve aus dem Einheitskreis

Rechtwinkliges Dreieck für Winkelfunktionen

Formeln im rechtwinkligem Dreieck

«Eselbrücke!»

Beispiel:

Aufgabe 11.1 Lösung
Bestimme mit dem Taschenrechner:

Die für einen Druckstollen verwendeten Rohre sind insgesamt 2.34 km lang und liegen in einer Geraden.
Die Enden des Stollens liegen, vertikal gemessen 780 m auseinander.
Berechnen Sie den Gefällewinkel des Stollens!
Die Enden des Stollens liegen, vertikal gemessen 780 m auseinander.
Berechnen Sie den Gefällewinkel des Stollens!
Berechnen Sie die Länge l des Ankerseils!
Eine Platte soll wie angegeben schräg abgeschnitten werden.
Welche Länge hat die Seite b?
Welche Länge hat die Seite b?
Auf welche Breite b leuchtet die Strassenlampe die Strasse aus?
Für eine Boden-Durchführung ist ein Loch wie skizziert zu bohren. Es sind zu bestimmen:
a) der Neigungswinkel für den Bohrer,
b) die Länge des Bohrloches!
b) die Länge des Bohrloches!
⚽ 12. Zeit
Zeit-Umwandlungen

Beispiele

Aufgabe 12.1 Lösung
Umwandlung von Zeit (Std. / Min. / Sek.) in eine gut lesbare Einheit mit Dezimalstellen (z.B. 15,62 h oder 1,5 min)
a) 2500 min = ?
c) 2404 s = ?
Umwandlungen von Dezimalstellen in d / Std. / Min. / Sek.
a) 60,556 h
c) 2404 min
e) 82 s
Umwandlung in die gewünschten Masseinheiten
a) 137 s (min, s)
b) 199 min (h, min)
c) 75 h (d, h)
Umwandlung in die gewünschten Masseinheiten
a) 1237,64 h (h, min, s)
b) 24 h 24 min (h)
c) 8 min 45 s (s)
⚽ 13. Geschwindigkeit
🍃13.1 Geschwindigkeit V

🍃13.2 Berechnung Reaktions-, Brems- und Anhalteweg (Beispiel bei 80 km/h)

🍃13.3 Berechnung Anhalteweg bei Normal- oder Vollbremsung

🍃13.4 Beispiele für den Anhalteweg mit Normal- und Vollbremsung

🍃13.5 Massstäblicher Abstand bei 80, 50 und 30 km/h


🍃13.6 Berechnung der theoretischen Kapazität einer guten befahrbaren Strasse

🍃13.7 Beispiele der theoretischen Kapazität des Gotthard-Autotunnels

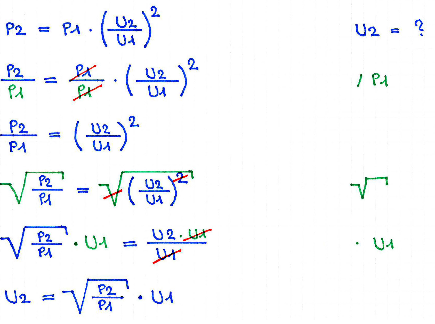
⚽ 14. Algebra (Formeln umwandeln)
Im allgemeinen Sinn versteht man unter Algebra das Teilgebiet der Mathematik, wo mit Zahlen und Buchstaben „gerechnet“ wird, also Terme umgeformt und Gleichungen sowie Ungleichungen gelöst werden.
In einer Gleichung, bzw. Formel ist links und rechts vom Gleichheitszeichen stets der selbe Wert.
Egal ob mit Formelzeichen oder Zahlen.

Beispiel 1: Ohmsches Gesetz


Lösung:

Beispiel 2: Kreisberechnung mittels Durchmesser (für Elektroberufe ideal)

Lösung;

Beispiel 3: Widerstandsberechnung
Lösung;

Ausklammern:
Ausmultiplizieren:
Aufgabe 14.1 Lösung

Aufgabe 14.2 Lösung

Aufgabe 14.5 Lösung

Aufgabe 14.6 Lösung

Aufgabe 14.7 Lösung

Aufgabe 14.9 Lösung

Aufgabe 14.10 Lösung

Aufgabe 14.11 Lösung

Aufgabe 14.12 Lösung

Aufgabe 14.13 Lösung

Aufgabe 14.14 Lösung

Aufgabe 14.15 Lösung

Aufgabe 14.16 Lösung

Aufgabe 14.17 Lösung

Aufgabe 14.18 Lösung

Quellennachweis:
Einzelne Aufgabenstellungen wurden aus dem Buch «Rechnen Elektroberufe, Vebra Verlag, 8630 Rüti (Schweiz)» entnommen.
Alle Aufgaben wurden von Robert Bayard, dem Eigentümer der Webseite, gelöst.
Alle Aufgaben wurden von Robert Bayard, dem Eigentümer der Webseite, gelöst.
⚽ Buchempfehlung
Rechnen ElektroberufeHrch. Brandenberger, Walter Enderli, Ernst Scherrer, Rudolf Spinnler
Vebra Verlag, 8630 Rüti (Schweiz)
ISBN 3-7293-0006-7 (7. Auflage)
Das Buch ist sehr empfehlenswert und kann in Buchhandlungen erworben werden. Fachrechnen für Elektroberufe wird an vielen Berufsfachschulen für das Fachrechnen angewendet.

Formeln und Tabellen Elektroberufe
Hrch. Brandenberger • Vebra Verlag, 8630 Rüti (Schweiz)





